400-099-2002

数据驱动发展 情报执掌命脉
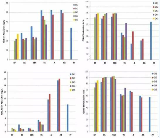
H食品全资子公司环保调查细节
项目背景
H食品企业公告其子公司浙江Y公司存在环保问题,公告显示,嘉兴市环保部门正对浙江Y公司进行环保检查,发现浙江Y公司存在不符合环保要求的情况,但具体情况环保部门尚在核实过程中,但具体细节暂未披露。
客户需求
应某知名媒体要求,对H食品全资子公司浙江Y公司的环保信息进行深入调查。
服务成果
调查成功查到浙江Y公司所在的辖区将要进行的环保调查内容,并获得浙江Y公司所在的辖区所开展的对“污水零直排区”建设工作的推进和污染源普查第二阶段入户调查结果。依据公司调查结果,知名媒体在环保部门核实结果公示之前,对浙江Y公司可能在此次辖区正在进行的环保行动中所存在的相关违规行为发表文章。
相关案例
在线客服系统